Στη δημοσιότητα έδωσε ο ΕΟΔΥ τα στοιχεία για την εξέλιξη της πανδημίας του κορονοϊού το τελευταίο 24ωρο στη χώρα μας.
Όπως αναφέρει η σχετική ανακοίνωση του ΕΟΔΥ: «Τα νέα εργαστηριακά επιβεβαιωμένα κρούσματα της νόσου που καταγράφηκαν τις τελευταίες 24 ώρες είναι 20.409, εκ των οποίων 50 εντοπίστηκαν κατόπιν ελέγχων στις πύλες εισόδου της χώρας. Ο συνολικός αριθμός των κρουσμάτων ανέρχεται σε 1.612.869 (ημερήσια μεταβολή +1.3%), εκ των οποίων 49.9% άνδρες.
Με βάση τα επιβεβαιωμένα κρούσματα των τελευταίων 7 ημερών, 621 θεωρούνται σχετιζόμενα με ταξίδι από το εξωτερικό και 2.336 είναι σχετιζόμενα με ήδη γνωστό κρούσμα.
Οι νέοι θάνατοι ασθενών με COVID-19 είναι 80, ενώ από την έναρξη της επιδημίας έχουν καταγραφεί συνολικά 21.732 θάνατοι.
Το 95.0% είχε υποκείμενο νόσημα ή/και ηλικία 70 ετών και άνω.
Ο αριθμός των ασθενών που νοσηλεύονται διασωληνωμένοι είναι 664 (59.9% άνδρες).
Η διάμεση ηλικία τους είναι 65 έτη.
To 79.8% έχει υποκείμενο νόσημα ή/και ηλικία 70 ετών και άνω.
Μεταξύ των ασθενών που νοσηλεύονται διασωληνωμένοι, 554 (83.43%) είναι ανεμβολίαστοι ή μερικώς εμβολιασμένοι και 110 (16.57%) είναι πλήρως εμβολιασμένοι. Από την αρχή της πανδημίας έχουν εξέλθει από τις ΜΕΘ 3.863 ασθενείς.
Οι εισαγωγές νέων ασθενών Covid-19 στα νοσοκομεία της επικράτειας είναι 587 (ημερήσια μεταβολή -10.24%).
Ο μέσος όρος εισαγωγών του επταημέρου είναι 577 ασθενείς.
Η διάμεση ηλικία των κρουσμάτων είναι 36 έτη (εύρος 0.2 έως 106 έτη), ενώ η διάμεση ηλικία των θανόντων είναι 78 έτη (εύρος 0.2 έως 106 έτη)».
Διαβάστε την αναλυτική έκθεση του ΕΟΔΥ
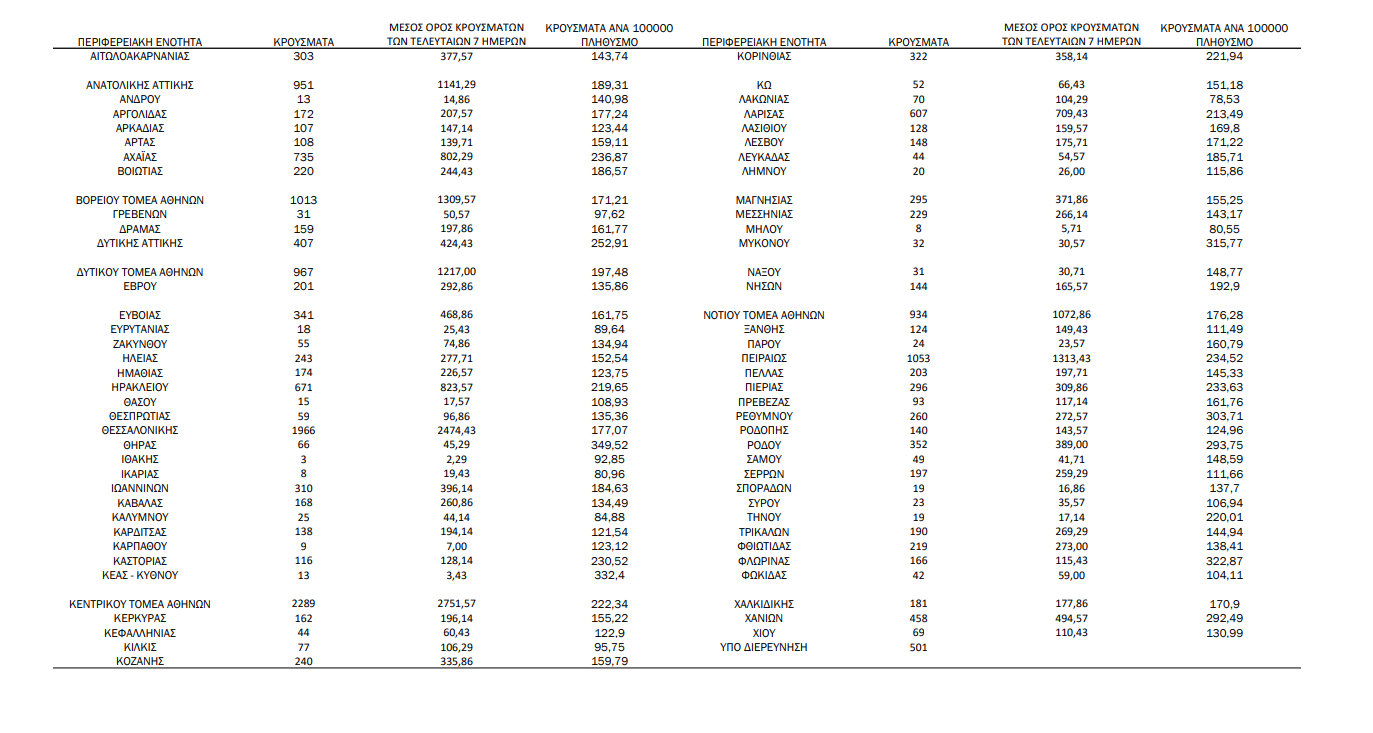
Η αναλυτική γεωγραφική κατανομή των κρουσμάτων
951 κρούσματα στην ΠΕ Ανατολικής Αττικής
1.013 κρούσματα στην ΠΕ Βόρειου Τομέα Αθηνών
407 κρούσματα στην ΠΕ Δυτικής Αττικής
967 κρούσματα στην ΠΕ Δυτικού Τομέα Αθηνών
2.289 κρούσματα στην ΠΕ Κεντρικού Τομέα Αθηνών
934 κρούσματα στην ΠΕ Νοτίου Τομέα Αθηνών
1.053 κρούσματα στην Π.Ε. Πειραιώς
144 κρούσματα στην Π.Ε. Νήσων
1.966 κρούσματα στην Π.Ε. Θεσσαλονίκης
303 κρούσματα στην Π.Ε. Αιτωλοακαρνανίας
13 κρούσματα στην Π.Ε. Ανδρου
172 κρούσματα στην Π.Ε. Αργολίδας
107 κρούσματα στην Π.Ε. Αρκαδίας
108 κρούσματα στην Π.Ε. Αρτας
735 κρούσματα στην Π.Ε. Αχαΐας
220 κρούσματα στην Π.Ε. Βοιωτίας
31 κρούσματα στην Π.Ε. Γρεβενών
159 κρούσματα στην Π.Ε. Δράμας
201 κρούσματα στην Π.Ε. Εβρου
341 κρούσματα στην Π.Ε. Εύβοιας
18 κρούσματα στην Π.Ε. Ευρυτανίας
55 κρούσματα στην Π.Ε. Ζακύνθου
243 κρούσματα στην Π.Ε. Ηλείας
174 κρούσματα στην Π.Ε Ημαθίας
671 κρούσματα στην ΠΕ Ηρακλείου
15 κρούσματα στην Π.Ε. Θάσου
59 κρούσματα στην Π.Ε. Θεσπρωτίας
66 κρούσματα στην Π.Ε. Θήρας
3 κρούσματα στην Π.Ε. Ιθάκης
8 κρούσματα στην Π.Ε. Ικαρίας
310 κρούσματα στην Π.Ε. Ιωαννίνων
168 κρούσματα στην Π.Ε. Καβάλας
25 κρούσματα στην Π.Ε Καλύμνου
138 κρούσματα στην Π.Ε. Καρδίτσας
9 κρούσματα στην Π.Ε. Καρπάθου
116 κρούσματα στην Π.Ε. Καστοριάς
13 κρούσματα στην Π.Ε. Κέας-Κύθνου
162 κρούσματα στην Π.Ε. Κέρκυρας
44 κρούσματα στην Π.Ε. Κεφαλληνίας
77 κρούσματα στην Π.Ε. Κιλκίς
240 κρούσματα στην Π.Ε Κοζάνης
322 κρούσματα στην Π.Ε. Κορινθίας
52 κρούσματα στην Π.Ε. Κω
70 κρούσματα στην Π.Ε. Λακωνίας
607 κρούσματα στην Π.Ε Λάρισας
128 κρούσματα στην Π.Ε. Λασιθίου
148 κρούσματα στην Π.Ε. Λέσβου
44 κρούσματα στην Π.Ε. Λευκάδας
20 κρούσματα στην Π.Ε. Λήμνου
295 κρούσματα στην Π.Ε. Μαγνησίας
229 κρούσματα στην Π.Ε. Μεσσηνίας
8 κρούσματα στην Π.Ε Μήλου
32 κρούσματα στην Π.Ε. Μυκόνου
31 κρούσματα στην Π.Ε. Νάξου
124 κρούσματα στην Π.Ε. Ξάνθης
24 κρούσματα στην Π.Ε. Πάρου
203 κρούσματα στην Π.Ε. Πέλλας
296 κρούσματα στην Π.Ε. Πιερίας
93 κρούσματα στην Π.Ε. Πρέβεζας
260 κρούσματα στην Π.Ε. Ρεθύμνου
140 κρούσματα στην Π.Ε. Ροδόπης
352 κρούσματα στην ΠΕ Ρόδου
49 κρούσματα στην Π.Ε. Σάμου
197 κρούσματα στην Π.Ε. Σερρών
19 κρούσματα στην Π.Ε. Σποράδων
23 κρούσματα στην Π.Ε. Σύρου
19 κρούσματα στην Π.Ε. Τήνου
190 κρούσματα στην Π.Ε. Τρικάλων
219 κρούσματα στην Π.Ε. Φθιώτιδας
166 κρούσματα στην Π.Ε. Φλώρινας
42 κρούσματα στην Π.Ε. Φωκίδας
181 κρούσματα στην Π.Ε. Χαλκιδικής
458 κρούσματα στην Π.Ε. Χανίων
69 κρούσματα στην Π.Ε Χίου
501 κρούσματα υπό διερεύνηση
Κάνε like στη σελίδα μας στο Facebook
Ακολούθησε μας στο Twitter
Κάνε εγγραφή στο κανάλι μας στο Youtube
Γίνε μέλος στο κανάλι μας στο Viber
– Αναφέρεται ως πηγή το ertnews.gr στο σημείο όπου γίνεται η αναφορά.
– Στο τέλος του άρθρου ως Πηγή
– Σε ένα από τα δύο σημεία να υπάρχει ενεργός σύνδεσμος
